Home

A new way to make quadratic equations easy

Leave a comment

Click the link below the picture

.

The ancient Babylonians were a remarkable bunch. Among many extraordinary achievements, they found a now-famous mathematical solution to an unpleasant challenge: paying tax.

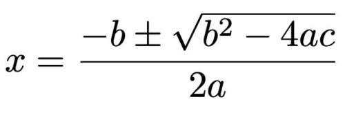
The particular problem for the ordinary working Babylonian was this: Given a tax bill that has to be paid in crops, by how much should I increase the size of my field to pay it?

This problem can be written down as a quadratic equation of the form Ax2+Bx+C=0. And it is solved with this formula:

the quadratic formula

Today, over 4,000 years later, millions of people have the quadratic formula etched into their minds thanks to the way mathematics is taught across the planet.

But far fewer people can derive this expression. That’s also due to the way mathematics is taught—the usual derivation relies on a mathematical trick, called “completing the square,” that is far from intuitive. Indeed, after the Babylonians, it took mathematicians many centuries to stumble across this proof.

Before and since, mathematicians have found a wide range of other ways to derive the formula. But all of them are also tricky and non-intuitive.

So it’s easy to imagine that mathematicians must have exhausted the problem. There just can’t be a better way to derive the quadratic formula.  

Enter Po-Shen Loh, a mathematician at Carnegie Mellon University in Pittsburgh, who has found a simpler way—one that appears to have gone unnoticed these 4,000 years.

.

??

.

.

Click the link below for the article:

https://www.technologyreview.com/2019/12/06/131673/a-new-way-to-make-quadratic-equations-easy/?utm_source=pocket_collection_story

.

__________________________________________

Leave a comment

This site uses Akismet to reduce spam. Learn how your comment data is processed.

MRS. T’S CORNER

https://www.tangietwoods

Amor Entre Estrellas

¡Bienvenido de vuelta viajero!

Heart of Loia `'.,°~

so looking to the sky ¡ will sing and from my heart to YOU ¡ bring...

Michael Ciullo

CEO and Founder of Nsight Health

Nelson MCBS

Catholic News, Prayers, HD Images, Rosary, Music, Videos, Holy Mass, Homily, Saints, Lyrics, Novenas, Retreats, Talks, Devotionals and Many More

Global geopolitics

Decoding Power. Defying Narratives.

Talk Photo

A creative collaboration introducing the art of nature and nature's art.

Movie Burner Entertainment

The Home Of Entertainment News, Reviews and Reactions

Le Notti di Agarthi

Hollow Earth Society

C r i s t i a n a' s Fine Arts ⛄️

•Whenever you are confronted with an opponent, conquer him with love.(Gandhi)

TradingClubsMan

Algotrader at TRADING-CLUBS.COM

Comedy FESTIVAL

Film and Writing Festival for Comedy. Showcasing best of comedy short films at the FEEDBACK Film Festival. Plus, showcasing best of comedy novels, short stories, poems, screenplays (TV, short, feature) at the festival performed by professional actors.

Bonnywood Manor

Peace. Tranquility. Insanity.

Warum ich Rad fahre

Take a ride on the wild side

Madame-Radio

Découvre des musiques prometteuses (principalement) dans la sphère musicale française.

Ir de Compras Online

No tiene que Ser una Pesadilla.

Kana's Chronicles

Life in Kana-text (er... CONtext)

Jam Writes

Where feelings meet metaphors and make questionable choices.

emotionalpeace

Finding hope and peace through writing, art, photography, and faith in Jesus.

WearingTwoGowns.Blog

A former medical student's journey through healthcare challenges and personal growth

...

love each other like you're the lyric to their music

Luca nel laboratorio di Dexter

Comprendere il mondo per cambiarlo.

Tales from a Mid-Lifer

Mid-Life Ponderings

Creative

Travel,Tourism, Life style "Now in hundreds of languages for you."

freedomdailywriting

I speak the honest truth. I share my honest opinions. I share my thoughts. A platform to grow and get surprised.

The Green Stars Project

User-generated ratings for ethical consumerism

Cherryl's Blog

Travel and Lifestyle Blog

Sogni e poesie di una donna qualunque

Questo è un piccolo angolo di poesie, canzoni, immagini, video che raccontano le nostre emozioni

My Awesome Blog

“Log your journey to success.” “Where goals turn into progress.”

pierobarbato.com

scrivo per dare forma ai silenzi e anima alle storie che il mondo dimentica.

Thinkbigwithbukonla

“Dream deeper. Believe bolder. Live transformed.”

Vichar Darshanam

Vichar, Motivation, Kadwi Baat ( विचार दर्शनम्)

Komfort bad heizung

Traum zur Realität

Chic Bites and Flights

Savor. Style. See the world.

ومضات في تطوير الذات

معا نحو النجاح

Broker True Ratings

Best Forex Broker Ratings & Reviews

Blog by ThE NoThInG DrOnEs

art, writing and music by James McFarlane and other musicians

fauxcroft

living life in conscious reality

Srikanth’s poetry

Freelance poetry writing

JupiterPlanet

Peace 🕊️ | Spiritual 🌠 | 📚 Non-fiction | Motivation🔥 | Self-Love💕